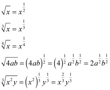
how to convert fraction exponents into square roots
how to convert fraction exponents into square roots. There are some references to how to convert fraction exponents into square roots in this article. If you are looking for how to convert fraction exponents into square roots you've came to the right place. We have posts about how to convert fraction exponents into square roots. You can check it out below.
Showing posts matching the search for how to convert fraction exponents into square rootsBlog Archive
-
▼
2023
(184)
-
▼
May
(47)
- 2023 Mlb Opening Day
- Stormy Daniels What Happened
- When Is Mlb Opening Day 2023
- Mlb Opening Day Starting Lineups
- Mlb 2023 Opening Day Lineups Quiz
- The History And Significance Of Orthodox Holy Satu...
- Mlb Opening Day 2023 Lineup
- The Evolution Of Tax Day: From Paper Forms To Onli...
- What Is Under Indictment
- What Is An Indictment Quizlet
- Easter Monday And The Easter Season: A Time For Re...
- Mlb Opening Day Tigers
- Nashville Police Shooting Liquor Store
- Mlb Season Opening Day 2023
- Mlb Opening Day Teams
- What Is Investigation Form
- The Music Of Good Friday: A Look At Hymns And Chor...
- Mlb Opening Day 2023 Reds
- What Is Investigation Hold
- Mlb Opening Day Rangers
- Mlb Opening Day Orioles
- Mlb Opening Day Mariners
- What Is Superseding Indictment
- Alvin Bragg Press Release
- Shooting At Lucky's Bar Nashville
- Exploring State Holidays: A Guide To Observances A...
- Celebrating Orthodox Good Friday At Home: Ideas Fo...
- Mlb Opening Day Counter
- How Long Until Mlb Opening Day
- Days To Mlb Opening Day 2023
- Lailat Al-Qadr And The Islamic Calendar: Connectio...
- What Is Jurisdictional Investigation By The Territ...
- What Is Conviction Value
- Alvin Bragg Color Of Change
- Comparing Patriots' Day To Other Revolutionary War...
- Mlb Opening Day World Series Odds
- Celebrating Orthodox Good Friday At Home: Ideas Fo...
- Father Damien And The Power Of Compassion: Lessons...
- The Beauty And Significance Of Orthodox Easter: Ce...
- What Is Conviction History
- Nashville Public Shooting Range
- Comparing Yom HaShoah To Other Holocaust Remembran...
- Yom HaShoah Observances: From Candle Lighting To C...
- When Is Mlb Opening Day 2023
- Donald Trump Latest News
- Skeet Shooting In Nashville Tn
- What Is Investigation Quora
-
▼
May
(47)
Total Pageviews
Search This Blog
Powered by Blogger.
Menu Halaman Statis
About Me
© 2022 - Rasmi Padr
